近日,356体育在线官网环境与生业考古团队联合云南省文物考古研究所、澄江市文物管理所和芝加哥大学等单位在学术期刊Journal of Archaeological Science: Reports发表题为 “Faunal exploitation in the first millennium BCE central Yunnan, China: evidence from Xueshan”的研究论文。研究团队通过对近万件动物骨骼的精细分析,首次系统揭示公元前一千纪滇文化核心区人群动物资源的多元利用景观。论文第一作者为356体育在线官网文化遗产研究院博士研究生张瑜和芝加哥大学人类学系Alice Yao教授,通讯作者为云南省文物考古研究所蒋志龙研究员与356体育在线官网文化遗产研究院陈雪香教授。共同作者还包括356体育在线官网文化遗产研究院王华教授、博士研究生张舒涵,云南省文物考古研究所周然朝副研究员和澄江市文物管理所李学雁副研究员。
云贵高原地处多文化交汇地带,是研究史前生计模式转型的关键区域。长期以来,学术界对滇池盆地青铜时代人群的认知多依赖于精美的青铜器图像。本研究聚焦于滇池盆地东部的学山遗址(图1)。该遗址地处抚仙湖北岸,代表了一种非贝丘的山地聚落类型。云南省文物考古研究所通过2010—2011年的大规模科学发掘,获取了丰富的动物骨骼遗存。研究团队利用动物考古学方法,结合定性识别与定量分析(NISP、MNI及生物量统计),对该遗址出土的8116件动物标本进行了系统研究。研究发现,学山遗址在公元前800年至400年间形成了一套成熟的多元化畜牧经济体系。

图1 学山及相关遗址位置
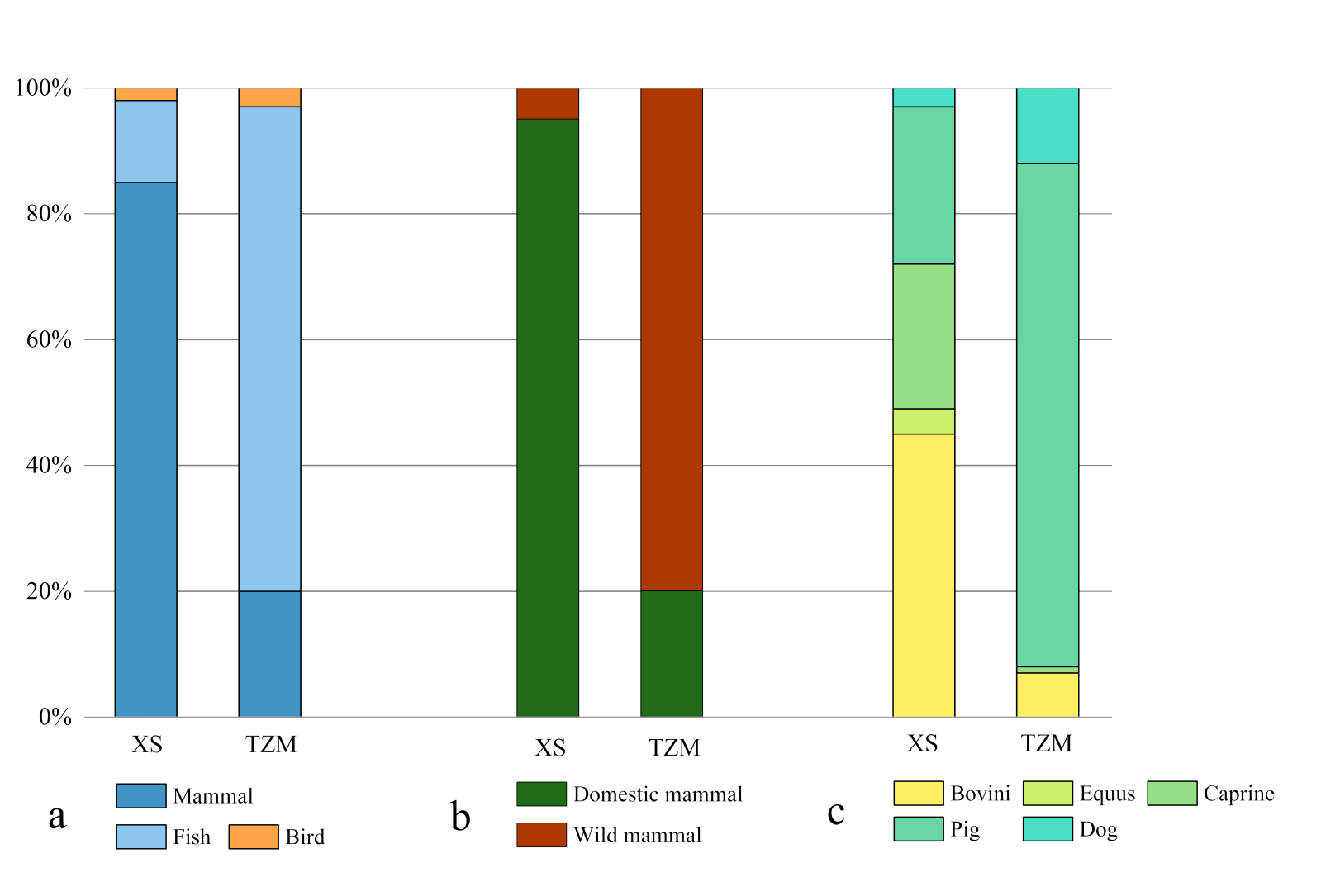
一是家畜占据绝对主导,动物资源结构多元化。研究通过NISP(标本数)与Biomass(生物量估计)的综合对比发现,学山先民的肉食资源高度依赖家养动物,其生物量占比显著。家养草食性家畜(牛、羊、马)在肉食供应中占据核心地位,而野生动物仅作为零星补充(图2)。这表明至迟在公元前一千纪前半叶,滇中高地聚落已构建了成熟的农牧复合经济。

图2 学山遗址主要动物骨骼遗存
二是牛羊利用专业化,管理策略精细化。研究团队利用形态学与测量值对数指数(LSI)分析,取得了多项重要认识。首先,研究揭示了滇文化“双牛”共存现象。首次科学确认了家养黄牛与家养水牛在遗址内的共存(图3)。黄牛呈现“双峰型”死亡模式,暗示其兼顾肉食生产与畜力(次级产品)利用;水牛的出现则反映了对湿地环境的充分开发。其次,研究发现了羊毛/皮经济的萌芽。绵羊遗骸中超过50%存活至成年或老年,且几乎未发现1岁以下的幼龄个体。这种典型的专业化饲养模式指向了以获取羊毛/皮为核心的生产目标,预示着当时可能已存在初具规模的纺织业。再次,研究指向猪肉的集约化利用策略。超过76%的家猪在2.5岁前被宰杀,高峰期集中在8-12个月,显示出高效、集约的肉食保障策略(图4)。

图3 学山普通牛与水牛的对数指数(LSI)比较分析

图4 主要家畜的生存曲线和死亡年龄分布(a, b牛;c, d猪;e绵羊;f山羊)
三是揭示滇文化内部高度适应且互补的多元化生存策略。学山遗址动物遗存显示了一个以畜牧业为核心的经济体系;滇池湖畔的天子庙遗址则是以渔猎和采集水生资源为主,辅以养猪的经济模式(图5)。“高地畜牧-湖滨渔猎”的经济类型互补,极大增强了滇文化社会的生态韧性与生计稳定性。

图5 学山与天子庙之间动物群的比较
学山遗址动物考古学研究证实,高度专业化与多样性的畜牧经济是滇文化青铜文明的物质支柱。研究挑战了“中心-边缘”传播模型,强调了滇池盆地人群的“本地能动性”。面对经西北地区传入的牛、羊、麦等外来物种,本地区人群结合亚热带高原环境,对外来物种进行了主动的、创造性的管理和改造,发展出了独特的混合饲养策略(如同时养黄牛和水牛)。研究还揭示了滇文明内部的多样性与互补性。“古滇国”可能并非一个高度同质的集权政体,而是由山地牧人、湖滨渔猎者、平原农人组成的互补网络。这种基于生态差异的频繁交换与社会互动,构成了滇文明蓬勃发展的文化韧性。研究将古滇国从青铜艺术的神话光环中,拉回到现实的经济生活土壤中。滇文化青铜器上刻画的盛大祭祀与狩猎场景,其背后是由专业的牧人、精细的养殖策略和多元互补的生计网络所支撑。
原文链接:https://doi.org/10.1016/j.jasrep.2026.105652
【作者:张 瑜 审核:陈雪香】