5月7日,356体育在线官网文化遗产研究院人类演化研究团队在国际权威学术期刊Journal of Human Evolution发表题为“Enamel thickness in the deciduous postcanine dentition of fossil andextantPongo”的研究论文,报道并对比了化石猩猩和现生猩猩乳齿的釉质厚度,该工作对探索猩猩的演化过程提供了重要依据。论文第一作者为356体育在线官网文化遗产研究院副研究员易智星,通讯作者为356体育在线官网文化遗产研究院王伟教授和广西科学院的许贵林教授。参与本项研究的还有波尔多大学、南宁师范大学、广西民族博物馆和中国矿业大学的多位学者。
现生大猿是与人亲缘关系最接近的非人灵长类动物,猩猩是亚洲唯一的现生大猿,其化石记录曾广泛分布于中国南方和东南亚,但目前仅有少量种群栖息于印度尼西亚和马来西亚的岛屿上。釉质厚度可以反映灵长类动物的食物处理能力,厚釉质一般表明该物种能够处理韧性或/和硬质食物。前人对化石猩猩恒齿釉质厚度进行了较为深入的研究,但对乳齿釉质厚度知之甚少,这在一定程度上限定了对猩猩幼年期演化过程的认知。
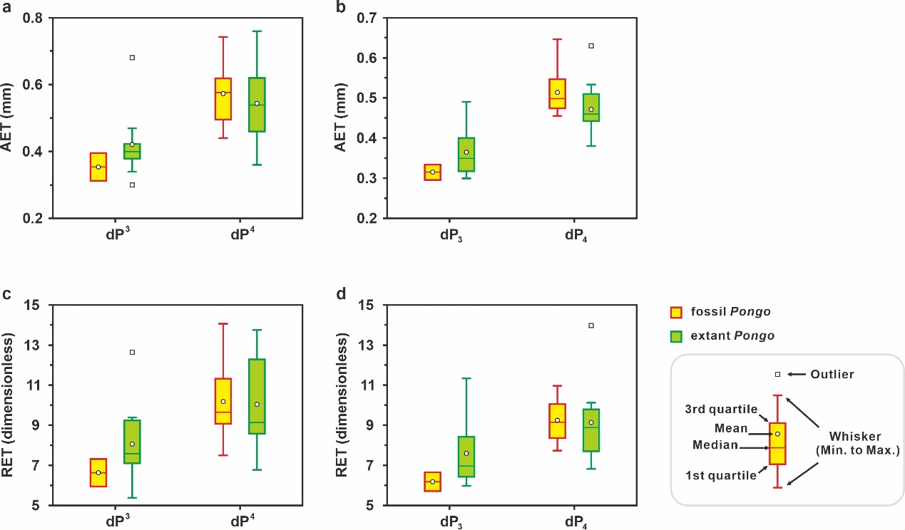
研究团队对28颗化石猩猩乳前臼齿(产地为广西中-晚更新世洞穴)进行了高精度CT扫描,在牙齿虚拟模型的基础上测量了近中切面的平均釉质厚度(averageenamel thickness,AET)和相对釉质厚度(relative enamel thickness,RET),并和39颗现生猩猩的结果进行了统计对比。结果显示,对于第四乳前臼齿,化石猩猩和现生猩猩在AET和RET上没有显著差异(p> 0.05)。

图1测量牙齿近中切面二维釉质厚度的流程

图2化石猩猩和现生猩猩乳前臼齿(a-b)平均釉质厚度和(c-d)相对釉质厚度的对比结果.左侧两图为上颌结果,右侧两图为下颌结果
和恒齿演化规律相似,化石猩猩和现生猩猩的釉质厚度在第四乳前臼齿上没有显著差异,这表明猩猩无论是幼年期还是成年期,在漫长的演化过程中,可能没有进化出更高的食物处理能力(processingcapability)。值得注意的是,自早更新世以来,猩猩牙齿呈现出逐步减小的趋势。牙齿大小和体重为正相关关系,由此可以推测猩猩自早更新世以来体重逐渐减小。体重减小不仅能够减少每天的能量消耗,而且还能扩大活动范围,从而提高猩猩的食物采收能力(harvestingcapability)。早更新世以来,华南呈现出森林退化的过程,适合猩猩生存的栖息地和喜好食物逐渐减少。面对这种环境变迁,猩猩可能没有演化出更高的食物处理能力,而是通过减小体重,提高活动范围,提高食物采收能力,不断南迁来追寻更合适的栖息地。这或许能够解释化石猩猩在早更新世主要分布在中国南方,在中更新世已经扩展到南边的东南亚,而目前仅仅生活在更靠南方的东南亚岛屿上。
Journal of Human Evolution为古人类学领域的老牌期刊,该刊主要发表人类演化各研究方向的高质量文章,在国际上享有较高的声誉以及广泛的学术影响力(2022年JCR分区:SSCI一区)。
文章链接:https://www.sciencedirect.com/science/article/pii/S0047248424000010
【作者:易智星 审核:王伟 编辑:孙士美】